Results for V3-final
Table of Contents
Description
Configuration
- CPU
- 4-cores x 2-sockets Intel(R) Xeon(R) CPU W5580
- FS-layout
- loopdev over tmpfs
Abrevations
- BASE-x-x-x
- Base kernel w/o patch
- V3-x-x-x
- Base kernel with quota-smp-v3 patch
- x-EXT2-x-x
- ext2 -ousrquota,grpquota
- x-EXT4-x-x
- ext4 (with orphan_del patch) -ousrquota,grpquota,barrier=0,noload
- x-x-M-x
- Run tests in parallel for didicated superblocks
- x-x-S-x
- Run tests in parallel for single superblock, but didicated dirs.
- x-x-x-qoff
- Run tests with quota disabled
- x-x-x-qon
- Run tests with quota enabled
Patch quota-smp-v3
posted here: http://marc.info/?l=linux-fsdevel&m=128947769518145&w=2
link : quota-patch-v3.tgz
Results for ext2 mounttype:M
lat_fs_open_close
| #nr_task | BASE-ext2-M-qoff | BASE-ext2-M-qon | V3-ext2-M-qoff | V3-ext2-M-qon |
|---|---|---|---|---|
| 1 | 948.1667 | 764.5000 | 946.3333 | 927.6667 |
| 2 | 1922.8697 | 1151.9396 | 1938.9732 | 1934.2788 |
| 4 | 3129.4454 | 1002.3277 | 3149.9871 | 3142.0366 |
| 8 | 2456.0179 | 617.6699 | 2458.0147 | 2389.2474 |
lat_fs_create_unlink
| #nr_task | BASE-ext2-M-qoff | BASE-ext2-M-qon | V3-ext2-M-qoff | V3-ext2-M-qon |
|---|---|---|---|---|
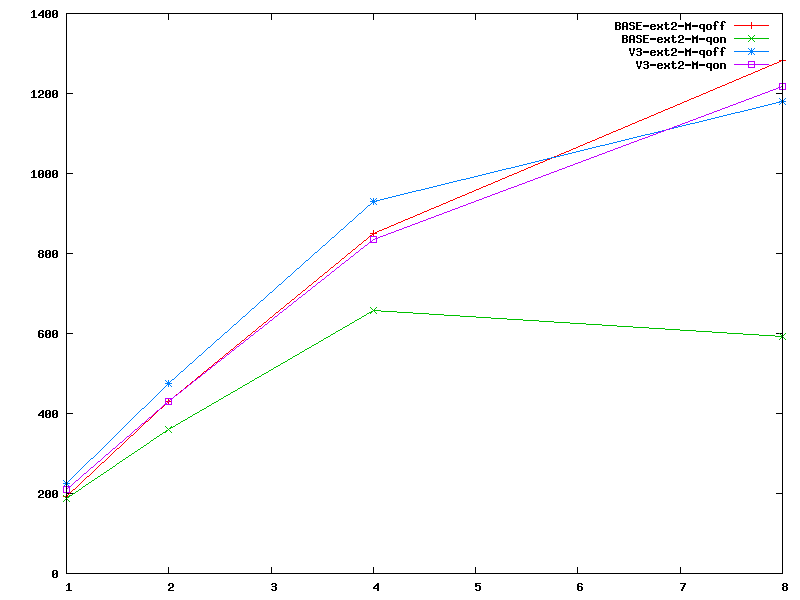
| 1 | 235.6667 | 175.6667 | 245.5000 | 213.5000 |
| 2 | 436.4122 | 243.5980 | 438.7574 | 372.8745 |
| 4 | 662.8800 | 167.8380 | 659.2657 | 636.9774 |
| 8 | 458.3527 | 119.6335 | 450.7699 | 443.9412 |
lat_fs_chown
| #nr_task | BASE-ext2-M-qoff | BASE-ext2-M-qon | V3-ext2-M-qoff | V3-ext2-M-qon |
|---|---|---|---|---|
| 1 | 1732.0000 | 577.3333 | 1862.5000 | 608.8333 |
| 2 | 3903.3535 | 324.8971 | 4009.5732 | 915.4414 |
| 4 | 7819.7019 | 176.6532 | 7944.9571 | 1943.8633 |
| 8 | 15674.1247 | 152.1995 | 16223.6236 | 3735.5754 |
lat_fs_write_truncate
| #nr_task | BASE-ext2-M-qoff | BASE-ext2-M-qon | V3-ext2-M-qoff | V3-ext2-M-qon |
|---|---|---|---|---|
| 1 | 193.0000 | 188.6667 | 224.0000 | 211.1667 |
| 2 | 429.7206 | 360.4230 | 475.0019 | 430.3835 |
| 4 | 849.2356 | 656.7153 | 929.0686 | 835.7268 |
| 8 | 1282.5309 | 591.5461 | 1181.1138 | 1218.6451 |
Results for ext2 mounttype:S
lat_fs_open_close
| #nr_task | BASE-ext2-S-qoff | BASE-ext2-S-qon | V3-ext2-S-qoff | V3-ext2-S-qon |
|---|---|---|---|---|
| 1 | 869.1667 | 752.1667 | 965.8333 | 899.1667 |
| 2 | 1550.2710 | 943.8137 | 1582.4104 | 1584.8760 |
| 4 | 2535.4082 | 405.0115 | 2567.7422 | 2570.2055 |
| 8 | 2478.4555 | 331.2060 | 2468.2536 | 2510.3900 |
lat_fs_create_unlink
| #nr_task | BASE-ext2-S-qoff | BASE-ext2-S-qon | V3-ext2-S-qoff | V3-ext2-S-qon |
|---|---|---|---|---|
| 1 | 239.5000 | 176.3333 | 232.0000 | 214.1667 |
| 2 | 318.9503 | 144.3502 | 318.2330 | 277.5197 |
| 4 | 517.4965 | 38.8375 | 512.9218 | 434.9625 |
| 8 | 410.6035 | 37.3970 | 404.8993 | 362.9505 |
lat_fs_chown
| #nr_task | BASE-ext2-S-qoff | BASE-ext2-S-qon | V3-ext2-S-qoff | V3-ext2-S-qon |
|---|---|---|---|---|
| 1 | 1713.0000 | 578.8333 | 1777.8333 | 606.5000 |
| 2 | 3926.6117 | 139.6713 | 4058.4990 | 572.0811 |
| 4 | 7794.9167 | 122.7671 | 8113.2547 | 157.1253 |
| 8 | 15624.5030 | 65.5310 | 16209.7858 | 171.4355 |
lat_fs_write_truncate
| #nr_task | BASE-ext2-S-qoff | BASE-ext2-S-qon | V3-ext2-S-qoff | V3-ext2-S-qon |
|---|---|---|---|---|
| 1 | 198.3333 | 183.5000 | 228.3333 | 211.8333 |
| 2 | 377.6814 | 303.8835 | 400.3777 | 351.9256 |
| 4 | 677.9045 | 243.3545 | 669.4650 | 582.4041 |
| 8 | 763.3074 | 122.5189 | 752.0466 | 482.7487 |
Results for ext4 mounttype:M
lat_fs_open_close
| #nr_task | BASE-ext4-M-qoff | BASE-ext4-M-qon | V3-ext4-M-qoff | V3-ext4-M-qon |
|---|---|---|---|---|
| 1 | 861.1667 | 730.0000 | 859.6667 | 866.0000 |
| 2 | 1715.4801 | 1104.7638 | 1805.8525 | 1763.4309 |
| 4 | 2911.4253 | 1037.4092 | 3071.5019 | 3057.4759 |
| 8 | 2494.0491 | 615.5268 | 2457.2961 | 2454.5207 |
lat_fs_create_unlink
| #nr_task | BASE-ext4-M-qoff | BASE-ext4-M-qon | V3-ext4-M-qoff | V3-ext4-M-qon |
|---|---|---|---|---|
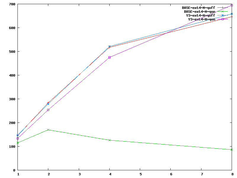
| 1 | 144.5000 | 114.5000 | 147.8333 | 133.6667 |
| 2 | 283.1806 | 169.7888 | 278.9802 | 254.2715 |
| 4 | 517.1871 | 125.8241 | 521.7510 | 475.4333 |
| 8 | 646.1056 | 86.6677 | 658.5349 | 695.0191 |
lat_fs_chown
| #nr_task | BASE-ext4-M-qoff | BASE-ext4-M-qon | V3-ext4-M-qoff | V3-ext4-M-qon |
|---|---|---|---|---|
| 1 | 702.6667 | 378.5000 | 701.6667 | 388.6667 |
| 2 | 1560.2737 | 517.0699 | 1554.6816 | 803.4614 |
| 4 | 3121.1109 | 186.3238 | 3107.2941 | 1570.1447 |
| 8 | 6229.6447 | 153.5552 | 6212.2151 | 2915.9863 |
lat_fs_write_truncate
| #nr_task | BASE-ext4-M-qoff | BASE-ext4-M-qon | V3-ext4-M-qoff | V3-ext4-M-qon |
|---|---|---|---|---|
| 1 | 164.8333 | 158.6667 | 167.6667 | 151.6667 |
| 2 | 356.0170 | 320.6927 | 350.7938 | 328.6044 |
| 4 | 706.7206 | 590.3074 | 693.9274 | 650.4842 |
| 8 | 1338.7954 | 745.8528 | 1293.6875 | 1221.1158 |
Results for ext4 mounttype:S
lat_fs_open_close
| #nr_task | BASE-ext4-S-qoff | BASE-ext4-S-qon | V3-ext4-S-qoff | V3-ext4-S-qon |
|---|---|---|---|---|
| 1 | 884.0000 | 717.6667 | 900.8333 | 892.3333 |
| 2 | 1442.2096 | 922.7570 | 1489.7908 | 1482.7738 |
| 4 | 2431.9443 | 379.1000 | 2495.3916 | 2392.1363 |
| 8 | 2614.5068 | 340.9021 | 2600.3434 | 2574.5812 |
lat_fs_create_unlink
| #nr_task | BASE-ext4-S-qoff | BASE-ext4-S-qon | V3-ext4-S-qoff | V3-ext4-S-qon |
|---|---|---|---|---|
| 1 | 149.6667 | 113.5000 | 145.3333 | 130.5000 |
| 2 | 235.8023 | 127.4197 | 229.6432 | 206.6013 |
| 4 | 389.9964 | 31.4781 | 390.4210 | 348.8141 |
| 8 | 534.4668 | 30.4118 | 543.1737 | 458.2721 |
lat_fs_chown
| #nr_task | BASE-ext4-S-qoff | BASE-ext4-S-qon | V3-ext4-S-qoff | V3-ext4-S-qon |
|---|---|---|---|---|
| 1 | 701.6667 | 386.0000 | 716.6667 | 362.1667 |
| 2 | 1552.6020 | 256.4369 | 1549.4560 | 537.3036 |
| 4 | 2603.5789 | 90.4186 | 2130.7956 | 216.4969 |
| 8 | 4063.6171 | 64.8011 | 5134.8030 | 175.7871 |
lat_fs_write_truncate
| #nr_task | BASE-ext4-S-qoff | BASE-ext4-S-qon | V3-ext4-S-qoff | V3-ext4-S-qon |
|---|---|---|---|---|
| 1 | 161.3333 | 153.6667 | 160.0000 | 158.1667 |
| 2 | 358.3154 | 308.4739 | 348.8511 | 322.3068 |
| 4 | 682.8813 | 342.2114 | 623.6706 | 609.0539 |
| 8 | 1139.7989 | 147.1729 | 1078.8685 | 1014.0539 |