Results for V3.pre0
Table of Contents
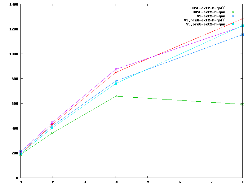
Results for ext2 mounttype:M
lat_fs_open_close
| #nr_task | BASE-ext2-M-qoff | BASE-ext2-M-qon | V2-ext2-M-qon | V3.pre0-ext2-M-qoff | V3.pre0-ext2-M-qon |
|---|---|---|---|---|---|
| 1 | 948.1667 | 764.5000 | 798.3333 | 915.0000 | 900.8333 |
| 2 | 1922.8697 | 1151.9396 | 1644.0054 | 1912.5562 | 1909.3208 |
| 4 | 3129.4454 | 1002.3277 | 2898.3756 | 3145.5357 | 3118.1694 |
| 8 | 2456.0179 | 617.6699 | 2529.3081 | 2478.2514 | 2391.3509 |
lat_fs_create_unlink
| #nr_task | BASE-ext2-M-qoff | BASE-ext2-M-qon | V2-ext2-M-qon | V3.pre0-ext2-M-qoff | V3.pre0-ext2-M-qon |
|---|---|---|---|---|---|
| 1 | 235.6667 | 175.6667 | 175.1667 | 233.8333 | 225.6667 |
| 2 | 436.4122 | 243.5980 | 323.7645 | 431.8704 | 387.6468 |
| 4 | 662.8800 | 167.8380 | 562.8841 | 652.0296 | 638.2584 |
| 8 | 458.3527 | 119.6335 | 463.6068 | 449.6705 | 440.0926 |
lat_fs_chown
| #nr_task | BASE-ext2-M-qoff | BASE-ext2-M-qon | V2-ext2-M-qon | V3.pre0-ext2-M-qoff | V3.pre0-ext2-M-qon |
|---|---|---|---|---|---|
| 1 | 1732.0000 | 577.3333 | 611.1667 | 1764.5000 | 720.0000 |
| 2 | 3903.3535 | 324.8971 | 1172.6828 | 4011.6493 | 1419.5409 |
| 4 | 7819.7019 | 176.6532 | 2083.1294 | 8015.9721 | 2577.6151 |
| 8 | 15674.1247 | 152.1995 | 3301.1282 | 16032.1955 | 4393.7336 |
lat_fs_write_truncate
| #nr_task | BASE-ext2-M-qoff | BASE-ext2-M-qon | V2-ext2-M-qon | V3.pre0-ext2-M-qoff | V3.pre0-ext2-M-qon |
|---|---|---|---|---|---|
| 1 | 193.0000 | 188.6667 | 211.8333 | 210.3333 | 194.3333 |
| 2 | 429.7206 | 360.4230 | 418.2228 | 445.5178 | 403.3156 |
| 4 | 849.2356 | 656.7153 | 780.5941 | 875.3209 | 759.6456 |
| 8 | 1282.5309 | 591.5461 | 1154.4965 | 1223.7351 | 1228.0785 |
Results for ext2 mounttype:S
lat_fs_open_close
| #nr_task | BASE-ext2-S-qoff | BASE-ext2-S-qon | V2-ext2-S-qon | V3.pre0-ext2-S-qoff | V3.pre0-ext2-S-qon |
|---|---|---|---|---|---|
| 1 | 869.1667 | 752.1667 | 765.6667 | 931.3333 | 885.6667 |
| 2 | 1550.2710 | 943.8137 | 1261.5647 | 1566.6607 | 1544.7850 |
| 4 | 2535.4082 | 405.0115 | 2142.9989 | 2552.7926 | 2561.2379 |
| 8 | 2478.4555 | 331.2060 | 1296.3825 | 2466.4318 | 2517.1044 |
lat_fs_create_unlink
| #nr_task | BASE-ext2-S-qoff | BASE-ext2-S-qon | V2-ext2-S-qon | V3.pre0-ext2-S-qoff | V3.pre0-ext2-S-qon |
|---|---|---|---|---|---|
| 1 | 239.5000 | 176.3333 | 190.0000 | 228.3333 | 214.1667 |
| 2 | 318.9503 | 144.3502 | 235.8284 | 325.1140 | 290.5221 |
| 4 | 517.4965 | 38.8375 | 360.6563 | 519.9193 | 497.1605 |
| 8 | 410.6035 | 37.3970 | 244.2425 | 404.7449 | 401.4512 |
lat_fs_chown
| #nr_task | BASE-ext2-S-qoff | BASE-ext2-S-qon | V2-ext2-S-qon | V3.pre0-ext2-S-qoff | V3.pre0-ext2-S-qon |
|---|---|---|---|---|---|
| 1 | 1713.0000 | 578.8333 | 606.5000 | 1840.6667 | 715.5000 |
| 2 | 3926.6117 | 139.6713 | 780.7561 | 4005.4072 | 1388.7732 |
| 4 | 7794.9167 | 122.7671 | 394.2549 | 8001.0130 | 2588.3569 |
| 8 | 15624.5030 | 65.5310 | 310.9114 | 15808.9872 | 4382.5892 |
lat_fs_write_truncate
| #nr_task | BASE-ext2-S-qoff | BASE-ext2-S-qon | V2-ext2-S-qon | V3.pre0-ext2-S-qoff | V3.pre0-ext2-S-qon |
|---|---|---|---|---|---|
| 1 | 198.3333 | 183.5000 | 199.6667 | 200.3333 | 195.0000 |
| 2 | 377.6814 | 303.8835 | 359.8638 | 389.7194 | 355.7311 |
| 4 | 677.9045 | 243.3545 | 641.1986 | 681.1937 | 616.4197 |
| 8 | 763.3074 | 122.5189 | 855.4955 | 866.0082 | 885.6244 |
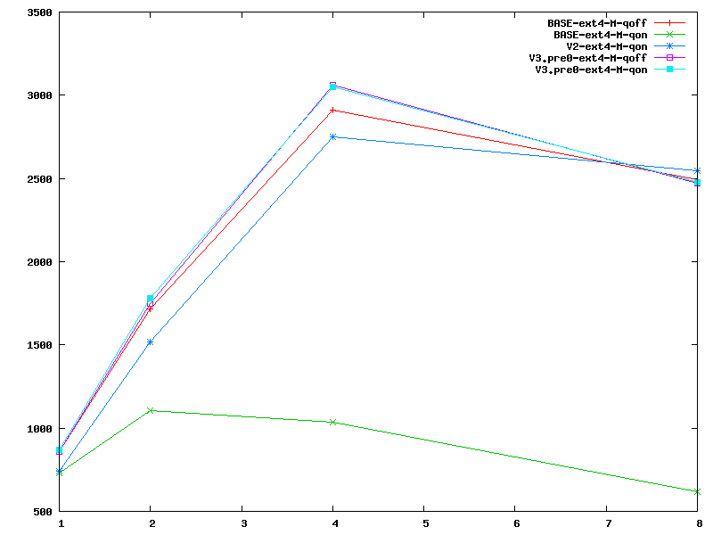
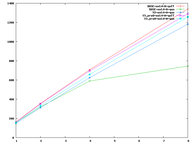
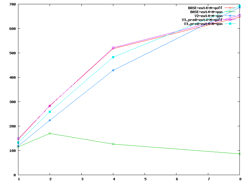
Results for ext4 mounttype:M
lat_fs_open_close
| #nr_task | BASE-ext4-M-qoff | BASE-ext4-M-qon | V2-ext4-M-qon | V3.pre0-ext4-M-qoff | V3.pre0-ext4-M-qon |
|---|---|---|---|---|---|
| 1 | 861.1667 | 730.0000 | 740.3333 | 856.5000 | 870.8333 |
| 2 | 1715.4801 | 1104.7638 | 1518.9457 | 1750.1445 | 1781.7435 |
| 4 | 2911.4253 | 1037.4092 | 2749.6251 | 3058.6308 | 3050.3463 |
| 8 | 2494.0491 | 615.5268 | 2545.9681 | 2469.6949 | 2474.6517 |
lat_fs_create_unlink
| #nr_task | BASE-ext4-M-qoff | BASE-ext4-M-qon | V2-ext4-M-qon | V3.pre0-ext4-M-qoff | V3.pre0-ext4-M-qon |
|---|---|---|---|---|---|
| 1 | 144.5000 | 114.5000 | 119.3333 | 149.3333 | 132.0000 |
| 2 | 283.1806 | 169.7888 | 224.1393 | 281.9700 | 259.3156 |
| 4 | 517.1871 | 125.8241 | 428.5577 | 521.4229 | 483.0434 |
| 8 | 646.1056 | 86.6677 | 685.8100 | 653.2048 | 692.5761 |
lat_fs_chown
| #nr_task | BASE-ext4-M-qoff | BASE-ext4-M-qon | V2-ext4-M-qon | V3.pre0-ext4-M-qoff | V3.pre0-ext4-M-qon |
|---|---|---|---|---|---|
| 1 | 702.6667 | 378.5000 | 364.5000 | 677.3333 | 406.0000 |
| 2 | 1560.2737 | 517.0699 | 786.1021 | 1478.0848 | 868.0640 |
| 4 | 3121.1109 | 186.3238 | 1506.6983 | 2977.1369 | 1674.6628 |
| 8 | 6229.6447 | 153.5552 | 2668.2439 | 5881.9514 | 2954.7452 |
lat_fs_write_truncate
| #nr_task | BASE-ext4-M-qoff | BASE-ext4-M-qon | V2-ext4-M-qon | V3.pre0-ext4-M-qoff | V3.pre0-ext4-M-qon |
|---|---|---|---|---|---|
| 1 | 164.8333 | 158.6667 | 147.5000 | 156.5000 | 155.3333 |
| 2 | 356.0170 | 320.6927 | 311.5514 | 351.2945 | 332.9787 |
| 4 | 706.7206 | 590.3074 | 625.0150 | 695.7205 | 657.1992 |
| 8 | 1338.7954 | 745.8528 | 1182.6371 | 1290.2546 | 1257.7865 |
Results for ext4 mounttype:S
lat_fs_open_close
| #nr_task | BASE-ext4-S-qoff | BASE-ext4-S-qon | V2-ext4-S-qon | V3.pre0-ext4-S-qoff | V3.pre0-ext4-S-qon |
|---|---|---|---|---|---|
| 1 | 884.0000 | 717.6667 | 732.3333 | 922.1667 | 875.6667 |
| 2 | 1442.2096 | 922.7570 | 1209.1136 | 1472.3949 | 1459.9925 |
| 4 | 2431.9443 | 379.1000 | 2078.4678 | 2488.2302 | 2465.3748 |
| 8 | 2614.5068 | 340.9021 | 1295.5439 | 2640.3565 | 2573.4391 |
lat_fs_create_unlink
| #nr_task | BASE-ext4-S-qoff | BASE-ext4-S-qon | V2-ext4-S-qon | V3.pre0-ext4-S-qoff | V3.pre0-ext4-S-qon |
|---|---|---|---|---|---|
| 1 | 149.6667 | 113.5000 | 117.5000 | 148.1667 | 132.8333 |
| 2 | 235.8023 | 127.4197 | 179.4633 | 231.8127 | 218.5177 |
| 4 | 389.9964 | 31.4781 | 264.8597 | 395.2428 | 382.1427 |
| 8 | 534.4668 | 30.4118 | 179.5375 | 567.9863 | 574.7397 |
lat_fs_chown
| #nr_task | BASE-ext4-S-qoff | BASE-ext4-S-qon | V2-ext4-S-qon | V3.pre0-ext4-S-qoff | V3.pre0-ext4-S-qon |
|---|---|---|---|---|---|
| 1 | 701.6667 | 386.0000 | 396.8333 | 687.8333 | 402.6667 |
| 2 | 1552.6020 | 256.4369 | 718.0267 | 1487.1813 | 859.1263 |
| 4 | 2603.5789 | 90.4186 | 440.7166 | 2801.1203 | 1626.5158 |
| 8 | 4063.6171 | 64.8011 | 313.7522 | 5276.9514 | 3040.0551 |
lat_fs_write_truncate
| #nr_task | BASE-ext4-S-qoff | BASE-ext4-S-qon | V2-ext4-S-qon | V3.pre0-ext4-S-qoff | V3.pre0-ext4-S-qon |
|---|---|---|---|---|---|
| 1 | 161.3333 | 153.6667 | 153.3333 | 154.8333 | 151.3333 |
| 2 | 358.3154 | 308.4739 | 306.0503 | 354.8152 | 331.0845 |
| 4 | 682.8813 | 342.2114 | 597.5259 | 663.9750 | 596.3481 |
| 8 | 1139.7989 | 147.1729 | 1067.8877 | 1189.9549 | 1103.8979 |